WTS: WORLD TYPE SET COINS MEXICO, CUBA, SOUTH KOREA, PHILIPPINES, IRELAND

Discussion in 'For Sale' started by sonlarson, Oct 2, 2025.

  1. sonlarson

    sonlarson World Silver Collector

    WORLD TYPE SET COINS MEXICO, CUBA, SOUTH KOREA, PHILIPPINES, IRELAND

    I am in the process of liquidating a large part of my collection. Most are World Coin type sets and topics that have interest me over the years. There are too many coins to list individually. I will post what I have available and feel free to shoot me a PM if there is something of interest. I can provide photos of individual coins upon request. I can assure you I will be ready and willing to make deals. This all has to go. I can either sell them here at bargain prices or be forced to sell on eBay or elsewhere at higher prices to offset fees. I will mention that I can make smoking hot deals if one wishes to purchase entire type set .vs breaking up the collections and selling individual coins. If you are trying to complete your own type sets, this is a great opportunity to fill any or all your holes at once or one at a time. I have been a member of CoinTalk since 2008 and a lot of you have seen pics of my coins over the years. I have sold and purchased many coins from members on this site in the past and all have been an enjoyable experience. Sadly I am not getting any younger and it is time let others enjoy these coins. I can upload PFD file of type books if anyone would like to view. Let me know if there is anything you might be interested in. Thanks.


    German Commemorative coins

    5 and 10 Marks. Most are Silver. The set has almost 11 ounces ASW. I could be persuaded to sell the entire set at current melt value.

    GERMAN EAGLES.jpg

    Mexico type set

    This will most likely have to be broken up. It is complete starting at 1903 to about 2009. I also have several Silver Commemorative coins, a few Libertad and a full date set of Medallic Bullion coins including the key date 1978. All uncirculated. These 4 coins were featured in the June 2020 edition of TNA News magazine. I might even include my last copy if buying the set of 4. 1949,1978,1979,1980.

    MEXICO 1905.jpg
    MEXICO 1992.jpg

    Cuba Republic 1903-1962

    This set starts in 1915 until 1962. in 1962 JFK imposed an embargo on Cuba. It forbids the import of product, including coinage after 1962. This set covers the period from the Cuban Republic in 1915 until Castro messed things un in 1962. Very interesting history. I recommend reading up on that time period in Cuba. Very difficult set to put together. A few slabbed coins in the set

    CUBA.jpg

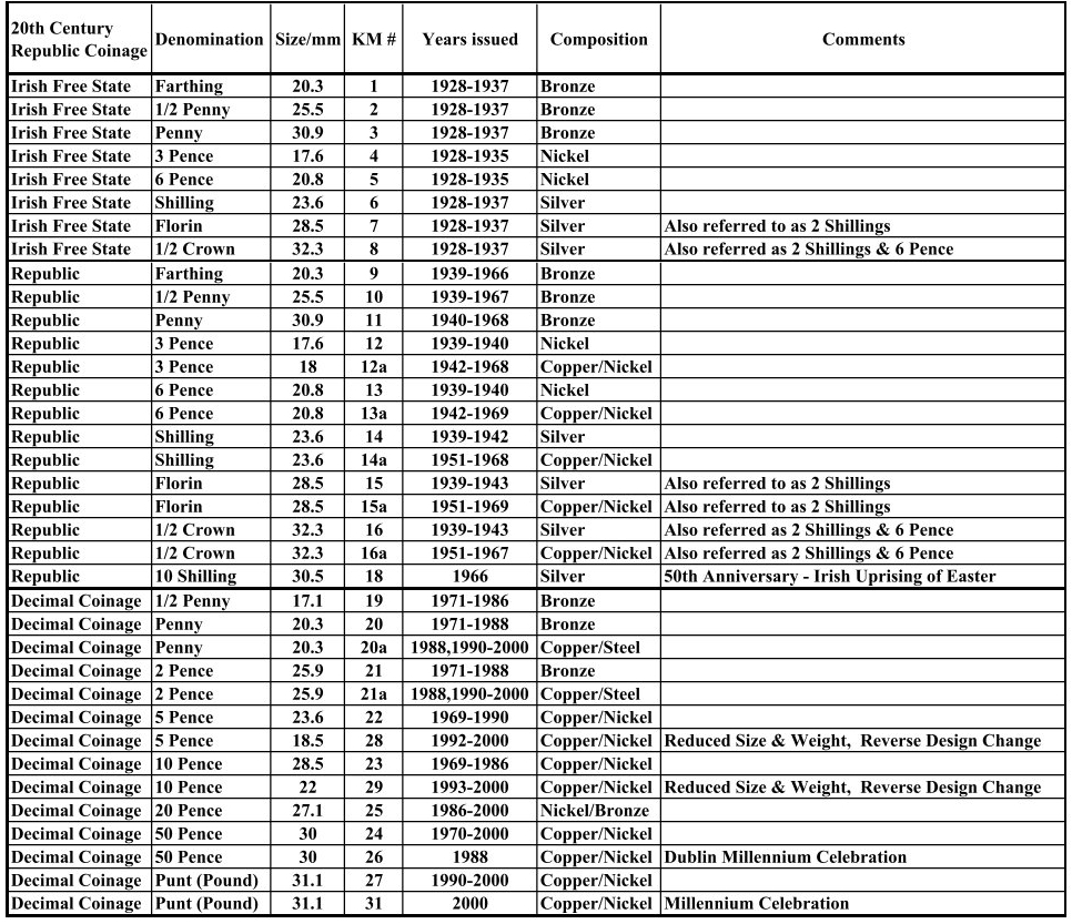
    Ireland Republic 1928-2000

    Mostly UNC with a few XF in harder to find coins. Decimal Coinage 1969- current. All UNC Beautiful coins

    IRELAND (2).jpg


    South Korea

    1959-Current. Well it was current at the time I completed it. All but 4 are UNC. This is a nice set. I also have 4 Silver 5,000 Won commemorative coins with the Olympic themes as well as 2 10,000 Won commemoratives. A few with COAs

    KOREA 1.jpg


    Philippines

    US Administration and the Republic periods 1903-1967.
    This is the period from 1903 when the United States controlled the Philippines until they were granted independence in 1967. The coins were either minted in the US or Manilla. A lot of Silver coins in this set, including Sea Salvaged coins that were dumped in the bay in 1936 to prevent the Japanese army from getting them. Several uncirculated coins in this set.

    PHILIPPINES 1.jpg


    World Coins

    I have many available from multiple countries. Many are uncirculated. Let me know what country you are collecting and I will let you know what is available.


    US Proof sets

    2007 to 2025 2014 is a Silver Proof

    Just let me know what you are looking for. I don't have any ancients. I do have a few US Commemoratives, some are raw, some are slabbed. Check with me before you buy from eBay. I can most likely beat their prices since I won't have to eat the fees. Doesn't hurt to ask


    Thanks

    Mike
     

Share This Page